7/26/23
Yet another approach to GLM-SuSiE
\[ \begin{aligned} y &\sim N(X\beta, \sigma^2_0) \\ \beta &= \sum_l b_l \gamma_l \\ b_l &\sim N(0, \sigma^2_0)\\ \gamma_l &\sim \text{Multinomial}(1, \pi) \end{aligned} \]
Inference as an optimization problem:
\[\begin{align} p(\beta | {\bf y}, X) = \arg \max_q F(q), \quad F(q) := \mathbb E_q \left[ \log p ({\bf y} | X, \beta) \right] - KL[q || p] \end{align}\]
\[\begin{align} F(q) &= \mathbb E_q \left[ \log p ({\bf y} | X, \beta) \right] - KL[q || p] \\ &= \mathbb E_q \left[ \log p ({\bf y}, \beta | X) \right] + H(q) \\ &= \left(\mathbb E_q \left[ \log p ({\bf y}, \beta | X) - Z \right] + H(q) \right) + Z \\ &= - KL[q || p_{post}] + Z \end{align}\]
We’ll write the variational objective for SER \(F_{SER}(q; {\bf y}, X, \sigma_0)\)
Restrict \(q\) to some family \(\mathcal Q\)
\[\begin{align} q^*(\beta) = \arg \max_{q \in \mathcal Q} F(q) \end{align}\]
SuSiE uses \(\mathcal Q = \{q : q(\beta) = \prod_l q_l(\beta_l)\}\)
\[ F_{SuSiE}(q; X, {\bf y}) = \mathbb E_{q} \left[ -\frac{1}{2\sigma^2}||{\bf y} - {\bf X} \beta_{-l} - X\beta_l||^2_2) \right] + KL[q || p_{SuSiE}] + C(\sigma) \]
Define the residual \({\bf r}_l = {\bf y} - X\beta_{-l}\)
\[ \begin{aligned} F_{SuSiE}(q_l; q_{-l}, X, {\bf y}) &= \mathbb E_{q_l} \left[ \mathbb E_{q_{-l}} \left[ -\frac{1}{2\sigma^2}||{\bf y} - {\bf X} \beta_{-l} - X\beta_l||^2_2) \right] \right] - KL[q || p] \\ &= \mathbb E_{q_l} \left[ \mathbb E_{q_{-l}} \left[ -\frac{1}{2\sigma^2}|| {\bf r}_l - X\beta_l||^2_2) \right] \right] - KL[q_l || p_l] + C_1 \\ &= \mathbb E_{q_l} \left[ \color{blue}{ -\frac{1}{2\sigma^2} \left(|| \mathbb E_{q_{-l}} {\bf r}_l- X\beta_l||^2_2 + \mathbb V ||r_l||^2_2 \right)} \right] - KL[q_l || p_l] + C_1\\ &= \mathbb E_{q_l} \left[ -\frac{1}{2\sigma^2} || \mathbb E_{q_{-l}} {\bf r}_l- X\beta_l||^2_2] \right] - KL[q_l || p_l] + C_2 \\ &= F_{SER}(q_l; X, \mathbb E_{q{-l}}{\bf r}_l) + C_2 \end{aligned} \]
Key: coordinate updates in \(\mathcal Q\) reduce to solving an SER
\[\begin{align} F_{SuSiE}(q) &= \mathbb E_q[\log p({\bf y} | X, \beta_l, \beta_{-l})] - \sum_l KL[q_l || p_l] \\ &= \mathbb E_{q_l}[ \mathbb E_{q_{-l}}[\log p({\bf y} | X, \beta_l, \beta_{-l})]] - \sum_l KL[q_l || p_l] + C_1 \\ &\color{purple}{\approx \mathbb E_{q_l}[\log p({\bf y} | X, \beta_l, \bar \beta_{-l})] - KL[q_l || p_l] + C_2} \\ &= F_{SER}(q_l; {\bf y}, X, \bar \beta_{-l}) + C_2 \end{align}\]
\[ \begin{aligned} F_{SuSiE}(q) &= \mathbb E_q[\log p({\bf y} | X, \beta_l, \beta_{-l})] - \sum_l KL[q_l || p_l] \\ &\color{purple}{\approx \mathbb E_{q_l}[\log p({\bf y} | X, \beta_l, \bar \beta_{-l})] - KL[q_l || p_l] + C_2} \\ \end{aligned} \]
Require a function \(G\) which computes the BF and posterior mean of a Bayesian univariate regression
\[\begin{align} {\bf y} \sim 1 + {\bf x} + {\bf o} \\ b \sim N(0, \sigma^2) \end{align}\]

Much better performance compared to direct VB approach
Fit lasso to each gene list, simulate new gene lists from lasso fit (x20) - Gene sets: MSigDb Hallmark + C2 - ~7500 genes, ~4500 gene sets
Some of the CSs are large (uninformative)
| # Causal x CS size | 1 | 2 | 3 | 4 | 5 | 6 | 7 | 8 | 9 | 12 |
|---|---|---|---|---|---|---|---|---|---|---|
| 0 | 17 | 3 | 1 | 0 | 0 | 0 | 1 | 0 | 0 | 0 |
| 1 | 244 | 6 | 4 | 2 | 2 | 0 | 1 | 0 | 1 | 0 |
| 2 | 0 | 14 | 1 | 0 | 0 | 1 | 0 | 1 | 0 | 1 |
| 3 | 0 | 0 | 0 | 1 | 0 | 2 | 0 | 0 | 0 | 0 |
| 4 | 0 | 0 | 0 | 0 | 1 | 1 | 0 | 0 | 0 | 0 |
Goal: demonstrate improvement from using Laplace ABF over ABF in GIBSS for settings commonly found in case-control GWAS
Implication: Naive application of “summary stat” based finemapping methods not appropriate for e.g. logistic regression, GLMs, GLMMs.
\[ \begin{aligned} y_i \sim Bernoulli(p_i) \\ \log \frac{p_i}{1 - p_i} = \beta_{0i} + \beta x_i\\ \beta_{0i} \sim N(b_0, \sigma^2_0) \\ \beta \sim N(0, \sigma^2) \end{aligned} \]
\[ \begin{aligned} y_i \sim Bernoulli(p_i) \\ \log \frac{p_i}{1 - p_i} = \beta_{0i} + \beta x_i\\ \beta_{0i} \sim N(b_0, \sigma^2_0) \\ \beta \sim N(0, \sigma^2) \end{aligned} \]
| Method | Coverage |
|---|---|
| abf | 0.953 |
| laplace_abf | 0.977 |

{fig-align=“right”, height=10%}
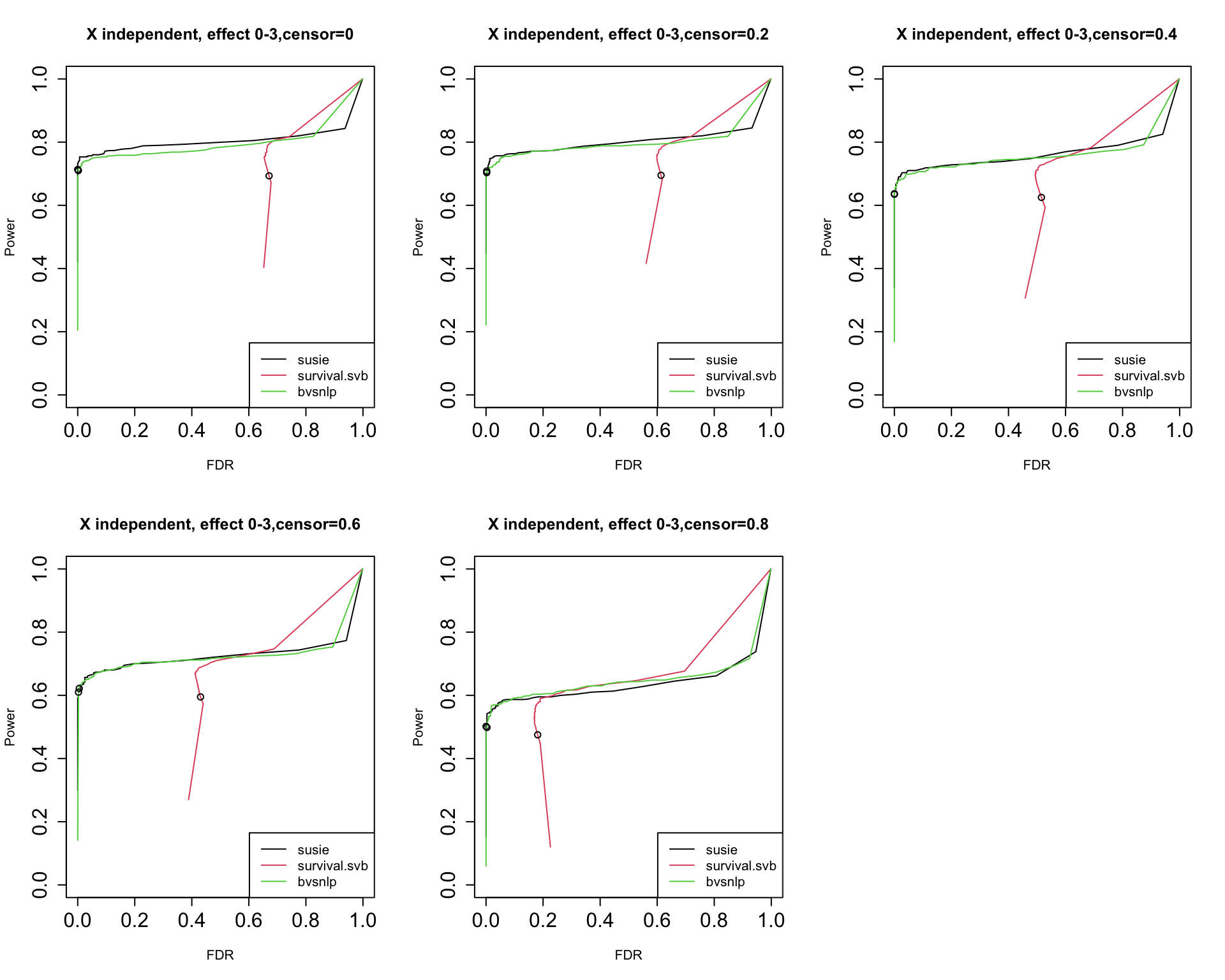
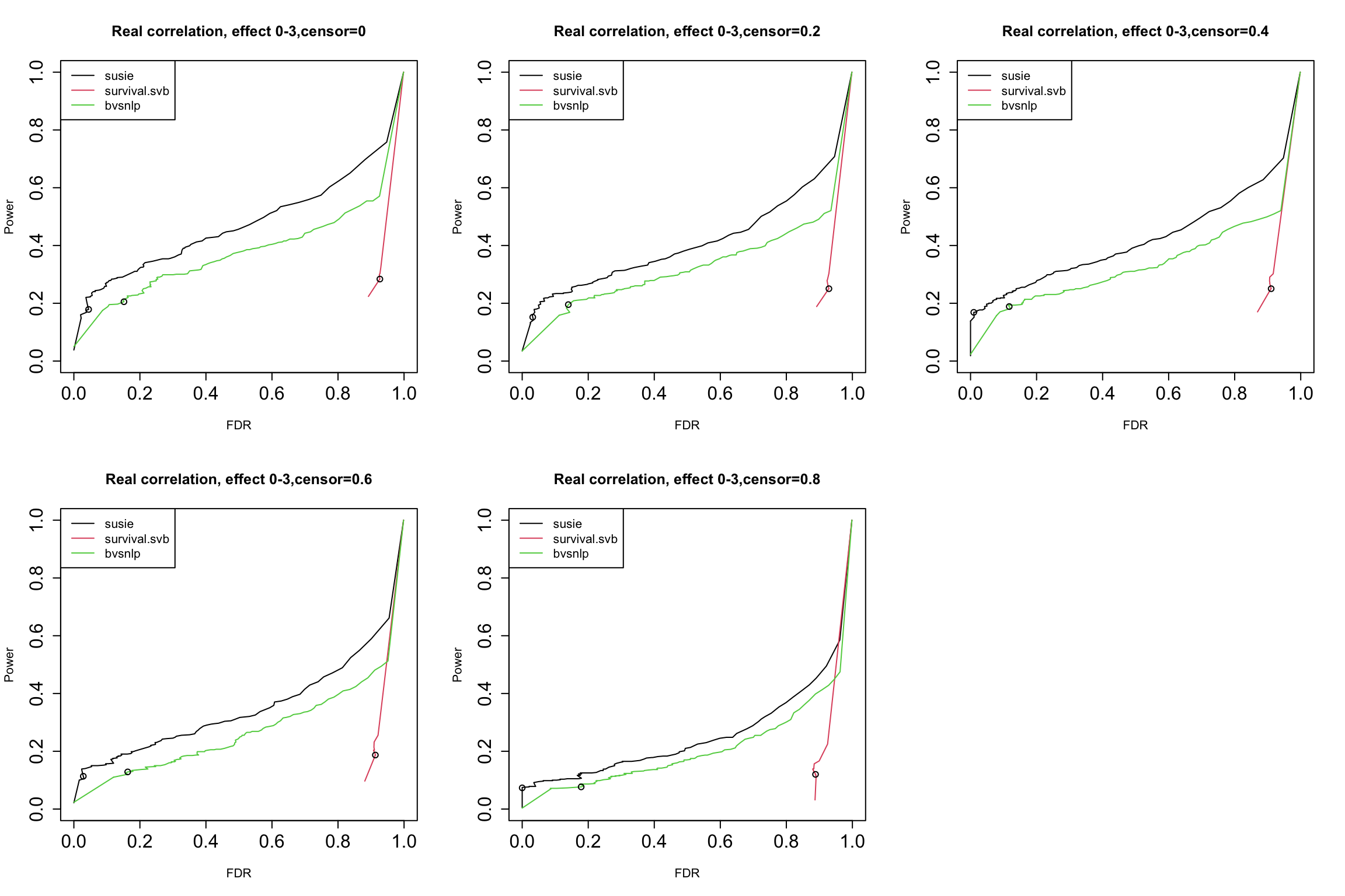
Yunqi has been investigating specifically the application of SuSiE for survival analysis.




\[ \begin{aligned} \hat \beta | \beta, s^2 &\sim N(\beta, s^2) \\ \beta &\sim N(0, \sigma^2) \end{aligned} \]
\[ \beta | \hat \beta, s^2 \sim N \left( \frac{\sigma^2}{s^2 + \sigma^2} \hat\beta, \left(\frac{1}{s^2} + \frac{1}{\sigma^2}\right)^{-1} \right) \]
\[BF = \int \color{red}{\frac{ p(\mathcal {\bf y} | {\bf x}, \beta)}{p({\bf y} | \beta = 0)}} N(\beta | 0, \sigma^2) d\beta\]
Approximate the likelihood ratio in a way that’s easy to integrate
\[ LR(\beta_1, \beta_2) = \frac{p(\mathcal {\bf y} | {\bf x}, \beta)}{p({\bf y} | \beta=0)} \]
Asymptotically, \(\hat \beta | \beta, s^2 \sim N(\beta, s^2)\). Then
\[ LR(\beta, 0) = \frac{p(y | \hat\beta, \beta) p(\hat\beta | \beta)}{p(y | \hat\beta, \beta = 0) p(\hat\beta | \beta = 0)} \approx \color{red}{\frac{p(y | \hat\beta)}{p(y | \hat\beta)}} \frac{p(\hat\beta | \beta)}{ p(\hat\beta | \beta = 0)} \approx \frac{N(\hat\beta| \beta, s^2)}{N(\hat\beta| 0, s^2)} = \widehat{LR}_{ABF}(\beta, 0). \]
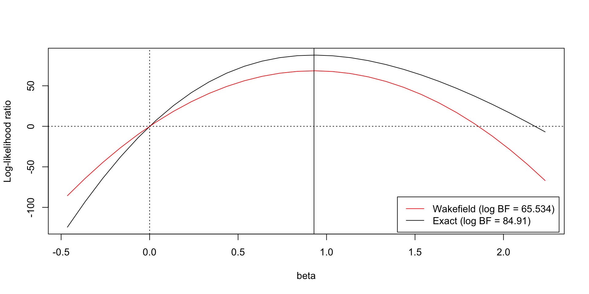
Integrating over the prior gives Wakefield’s asymptotic Bayes Factor (ABF)
\[ ABF = \int \widehat{LR}_{ABF}(\beta, 0) N(\beta | 0, \sigma^2_0) d\beta = \frac{N(\hat\beta | 0, s^2 + \sigma^2_0)}{N(\hat\beta | 0, s^2)} \]
Idea: use the asymptotic approximation where it is good
\[ \begin{aligned} LR(\beta, 0) &= LR(\beta, \hat{\beta}) LR(\hat{\beta}, 0) \\ &\approx \widehat{LR}_{ABF}(\beta, \hat\beta)LR(\hat\beta, 0) \\ &= \widehat{LR}_{Lap}(\hat\beta, 0) \end{aligned} \]
Requires an extra piece of information: \(LR(\hat\beta, 0)\)
For some non-negative function \(f: \mathbb R \rightarrow \mathbb R^+\), want to compute the integral
\[I = \int f(x) dx,\]
Define \(h(x) = \log f(x)\), expand around the maximizer of \(h\), \(x^*\)
\[\hat h (x) = h(x^*) + \frac{1}{2} h^{''}(x^*)(x-x^*)^2\]
Approximate with the Gaussian integral
\[ \hat I = \int \exp{\hat h(x))} dx = \exp{\hat h(x^*)} \left(-\frac{2\pi}{h^{''}(x^*)}\right)^{1/2}\] . . .
Potential next step: saddle point approximations?
Laplace approximation of the BF better than ABF for variable selection
Addition information available from standard statistical software for GLMs
Poor performance of ABF raises concerns about using SuSiE-RSS for summary statistics from non-Gaussian models
GIBSS + asymptotic approximation looks like a good recipe for GLMs
jax (numpy, with automatic differentiation, JIT compilation, and vectorization)log_likelihood function.susiepy package at http://github.com/karltayeb/susiepy